-
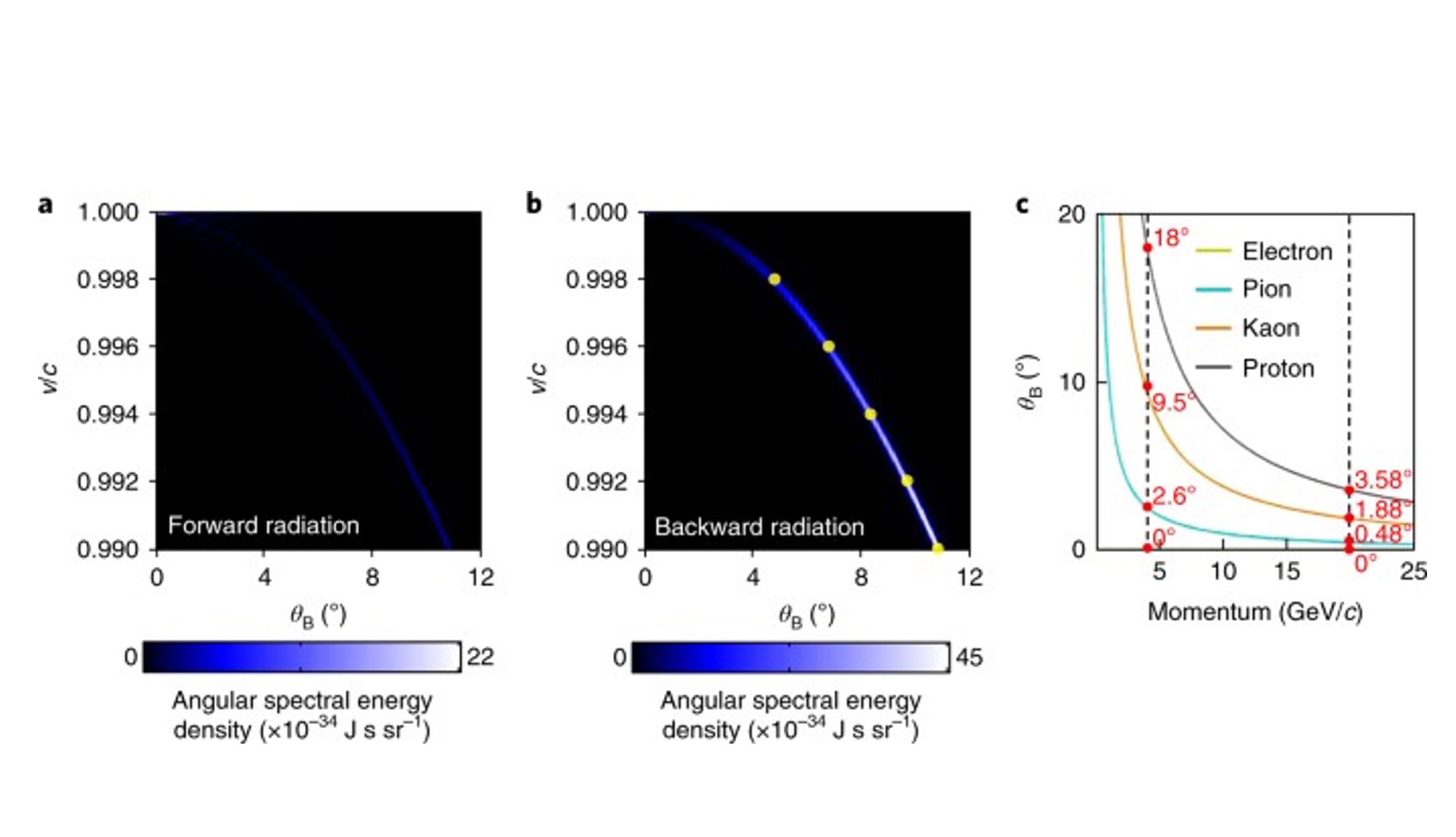
2018.05.14PAPER: Controlling Cherenkov angles with resonance transition radiation -
2017.06.08PAPER: Gated Orthogonal Recurrent Units: On Learning to Forget -
2016.12.15Tunable Efficient Unitary Neural Networks (EUNN) and their application to RNNs -
2016.09.17Deep Learning with Coherent Nanophotonic Circuits
- 1
- 2